Finalmente, semanas posteriores a que se filtraran los primeros listados de inmuebles nacionales que Milei iba a subastar, se publicó el Decreto N.º 950/2024 que ordena a la Agencia de Administración de Bienes del Estado (AABE) a vender alrededor de 400 inmuebles.
Este decreto maneja dos grupos de inmuebles. Por una parte, insiste con la venta de todos aquellos que Mauricio Macri puso a la venta durante su gestión, pero que estas no llegaron a concretarse (decretos N.º 952/16, 1064/16, 1173/16, 225/17, 928/17, 355/18, 1088/18, 345/19 y 518/19 y las Decisiones Administrativas N.º 249/18, 24/19, 317/19 y 610/19).
De este conjunto, existen 41 propiedades del Estado nacional ubicadas en la ciudad de Buenos Aires que conjuntamente tienen una superficie de 118.341 m² (alrededor de 12 hectáreas).
Por otra parte, se ponen a la venta 309 nuevas propiedades, de las cuales 23 inmuebles son por una superficie de 46.253 m² (alrededor de 4,5 hectáreas), que se encuentran en la ciudad de Buenos Aires.
Sólo en CABA se van a subastar 64 inmuebles del Estado nacional por una superficie total de 164.594 m² (16,5 hectáreas), un tamaño equivalente a ocho Plazas de Mayo.

El decreto considera “innecesarios” estos inmuebles sin dar mayores explicaciones y sin haber dispuesto mecanismos de consulta o participación de la ciudadanía que podría aportar destinos “necesarios” para estos inmuebles a fin de mitigar la crisis habitacional y social que vive el país.
La decisión del destino de la tierra pública no es una mera decisión administrativa o de gestión de bienes. La característica de estos bienes los hace parte y necesarios para la planificación ambiental y el ordenamiento territorial de las ciudades y del país. Es decir, el destino de los inmuebles debe considerarse una cuestión ambiental. En esta línea, el Acuerdo de Escazú, tratado internacional y regional que instaura la democracia participativa ambiental ordena que la ciudadanía debe participar en las etapas iniciales cuando se encuentran en juego decisiones ambientales de relevancia.
La venta de alrededor de 400 inmuebles en todo el país tiene la suficiente relevancia y el Poder Ejecutivo debió establecer instancias de participación antes de decidir que estos terrenos continúen alimentando la especulación inmobiliaria.
La única justificación brindada es que estos inmuebles “generan costos y gastos que deben evitarse” y que mantenerlos “sin un destino asignado implicaría desatender intereses prioritarios del Estado nacional”. Milei encontraría en la ciudadanía mucha colaboración para asignar destinos a todos los inmuebles que ha decidido vender si fuera su interés.


¿Esto es legal?
En una democracia resulta llamativo que el Presidente pueda vender alrededor de 400 inmuebles sin participación del Congreso. Los inmuebles son recursos muy preciados para la gestión del bien común.
La Constitución nacional (art. 75, inciso 5) es muy precisa con relación a que la disposición y enajenación (venta) de las tierras de propiedad nacional son una facultad del Congreso. El Poder Legislativo es el único que podría decidir que el Estado nacional se deshaga de elementos que conforman su banco de inmuebles.
Esta facultad, en principio, no podría ser delegada al Poder Ejecutivo. La delegación de facultades sólo está habilitada (art. 76, Constitución nacional) para cuestiones de administración o de emergencia pública. La venta de tierras públicas no es una cuestión de administración sino de disposición. En un contexto de emergencia pública, se podría delegar la facultad de vender tierras siempre y cuando la delegación tuviera un plazo determinado y bases de delegación.
Nada de esto está ocurriendo actualmente desde la Presidencia. Milei hace uso de un Decreto-Ley N.º 22.423 de la dictadura por el cual Videla en su doble rol de legislativo-ejecutivo hacía que el Congreso (disuelto) delegara al Ejecutivo facultades para vender tierras. Este decreto de delegación de facultades subsistió legalmente hasta el año 2010, cuando ya no volvió a ser prorrogado por el Congreso en democracia. Cabe destacar también que este Decreto-Ley no tenía plazo de ejercicio ni bases de delegación lo que también es una violación a la Constitución nacional de acuerdo con su reforma de 1994.
Por lo tanto, actualmente el Congreso es el único que puede autorizar la venta de tierras públicas nacionales.
Desde la Presidencia también sostienen que el Decreto N.º 1382/2012 autoriza a la AABE a vender tierras públicas sin ninguna limitación. Este DNU creó la Agencia de Administración de Bienes del Estado como órgano de administración de los bienes estatales. Entre sus facultades se encuentra la de enajenar tierra pública, pero “previa autorización pertinente conforme la normativa vigente”. Como vimos, la previa autorización pertinente se encuentra en cabeza del Congreso y no del Poder Ejecutivo.
Nuevamente estamos en presencia de una decisión tiránica por la cual nos quitarán cientos de inmuebles que pasarán de la esfera pública y del bien común a la esfera privada y al interés particular, contrariando la Constitución nacional y tratados internacionales.
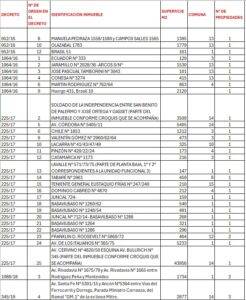
Detalle de algunos inmuebles necesarios
- Manuela Pedraza 1558/1580 y Campos Salles (Decreto 952/16 N.º de orden 2)
En esta parcela se encuentra el Centro de Salud Mental N.º 1, Dr. Hugo Rosario. Situado en el barrio de Núñez, este centro de alta complejidad en lo que se refiere a la salud mental ofrece más de 7.000 prestaciones mensuales. En este momento, los trabajadores y pacientes están en estado de alerta y movilización y hay una gran campaña vecinal de junta de firmas, de visibilización en redes y eventos callejeros.
Cabe destacar que este predio está situado en la manzana adyacente al Chateau Libertador y se encuentra en una de las manzanas de Núñez donde la construcción de mega emprendimientos ha causado daños a casas vecinas.
- Av. De los Italianos N.º 365/75 (Decreto 225/17)
Son terrenos del Ministerio de Defensa. Es la última parcela libre de Puerto Madero (Manzana IQ).
- Av. Antártida Argentina, calle Letonia, calle Combate de Costa Brava y Comodoro Py (Decreto 518/19).

Es el predio del Correo Internacional y Aduanas.
- Av. Cerviño N.º 3101/67 (Decreto 950/24)
En este predio situado en el barrio de Palermo se encuentra la sede del INTA. Los trabajadores están movilizados en contra de la venta y prevén ir a la Justicia. Se realizó un abrazo al edificio el 28 de octubre. El 18 de octubre renunció el director del INTA por negarse a despedir más personal y a disponer terrenos del organismo para la venta.
- Av. Corrientes N.º 6102 (Decreto 950/24)
Terreno junto a las vías del FFCC San Martín. Dentro del predio, en el frente sobre Corrientes, se encuentra la sede de Radio Asamblea. El predio se encuentra en las adyacencias del Movistar Arena.
- Esq. Gendarmería Nacional S/N, esq. Av. Antártida Argentina S/N, esq. Carlos H. Perette (Decreto 950/24)

En este terreno de una hectárea y media situado frente al barrio Carlos Múgica (ex Villa 31-31 bis) se encuentra una sucursal de Coto. Hay un reclamo histórico para la construcción de un hospital que sirva a la población de la zona y se presentaron proyectos de ley en dicha línea en la Legislatura porteña.
- Francisco Acuña de Figueroa, N.º 981 (Decreto 950/24)

Esta parcela abandonada hace 30 años, situada en el barrio de Almagro, el más denso de la ciudad y con poquísimos espacios verdes, actualmente tiene una densa vegetación, por eso el colectivo multidisciplinar RELIEVE propone la constitución de una mini reserva ecológica en área urbana.
- Echeverría N.º 1175, Cazadores S/N, Juramento N.º 1142 y Artilleros N.º 2017/51/81 (Decreto 518/19)

Una manzana destinada a desarrollo inmobiliario en el medio del barrio de Bajo Belgrano, barrio de casas bajas protegido por la ley.
--------------------------------
Para suscribirte con $ 8.000/mes al Cohete hace click aquí
Para suscribirte con $ 10.000/mes al Cohete hace click aquí
Para suscribirte con $ 15.000/mes al Cohete hace click aquí