La jueza federal Mariel Borruto, de la fueguina ciudad de Río Grande, resolvió en el primer día hábil del invierno suspender los efectos de las resoluciones de la Secretaría de Energía de la Nación y el Ente Nacional Regulador del Gas, que a base de tarifazos descargaron una feroz esquilma sobre bolsillos de la comunidad usuaria, solo postergada parcialmente por el temor a una reacción popular. El fallo de Borruto ordenó además a la prestataria Camuzzi Gas del Sur que se abstenga de perseguir el cobro de sumas surgidas de las disposiciones de la Secretaría y el ENARGAS, y de cortar el suministro a quienes no puedan afrontar los pagos.
Dictada como medida cautelar con vigencia de un trimestre o hasta que se resuelvan los cuestionamientos de fondo sobre la inconstitucionalidad de los tarifazos, la resolución ya había sido apelada al cierre de esta nota de El Cohete por la empresa prestataria y los órganos gubernamentales que emitieron las disposiciones objetadas.
Los descargos de apelación no aportaron argumentos novedosos y se centraron en un clásico de los últimos tiempos en litigios de interés colectivo: el cuestionamiento de la legitimación de quienes firmaron el pedido, en este caso la Gobernación y la Fiscalía provincial de Estado. El curso de los acontecimientos dirá si el Poder Judicial del sur continúa o no la senda ya recorrida por otros magistrados más cercanos al trópico, que escaparon por esa tangente, en ocasiones sin resolver las cuestiones de fondo. El Cohete ha reseñado algunos ejemplos, como las resoluciones ante planteos de la CGT por el mega DNU 70/2023 de Javier Milei o del Movimiento Nacional de Empresas Recuperadas frente a las ilegalidades del empréstito que Mauricio Macri acordó con el Fondo Monetario Internacional. El endeudamiento externo de 2018, la pretendida reforma laboral del DNU y los tarifazos de 2023 son capítulos que eslabonan una misma cadena de causas y consecuencias.
Más allá del resultado final que aguarde al expediente fueguino en los tribunales, tanto el fallo de Borruto como la presentación original del gobierno provincial resultan ilustrativos de una situación que involucra al conjunto del país pero encuentra particular gravedad en su zona más austral y fría.
Hace frío ya
Convertida en provincia recién en 1990, el nombre completo de Tierra del Fuego invoca la noción de soberanía: no sólo es el territorio más sureño del país, sino que también incluye una porción de la Antártida y las islas del Atlántico Sur, sobre las que la Argentina reclama soberanía. De ese modo, es la única provincia que tiene parte de su territorio bajo dominio extranjero.
Ambas razones confluyeron para que históricamente el Estado otorgara a sus habitantes beneficios especiales, a efectos de compensar la distancia con la Capital Federal y el clima inhóspito del lugar. Singular relevancia en tal sentido cobra el precio del gas de red, que además es imprescindible para hacer funcionar la electricidad, porque la fueguina es la única jurisdicción que no se encuentra conectada al sistema nacional de distribución.
Al otorgar la medida cautelar solicitada, la jueza federal Borruto entendió que los tarifazos al eslabón más débil de la cadena no respetaron la previsibilidad, proporcionalidad y gradualidad exigidas por la legislación ni la rigurosa prudencia que la Corte Suprema estableció en 2016 como requisito para la determinación de tarifas y su transparencia. El ENARGAS había respondido que salvó algunos de esos ítems con la realización de la obligatoria audiencia pública previa, pero para el gobierno provincial el detalle de las modificaciones y su impacto no habían sido correctamente informados a la comunidad, de modo de propiciar el debate y la participación.
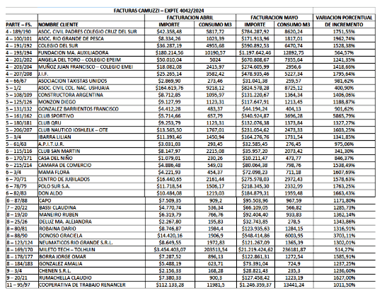
Al momento de mencionar ejemplos de la desproporción de los incrementos, la magistrada reprodujo un cuadro elocuente, que incluye desde empresas a entidades de bien público, como un centro de jubilados.

Borruto ejemplificó en cifras el despojo de la redeterminación de tarifas. La implementación de nuevos esquemas, escribió, “se traduciría en una variación del precio final de la tarifa correspondiente a abril de 2024 con porcentajes de aumentos que oscilarían entre un 297% y un 1379% en relación con el mes de marzo de 2024, mientras que la inflación interanual durante el periodo comprendido entre mayo de 2023 y mayo de 2024 fue de 276%”. En otras palabras, el porcentaje de inflación de doce meses estaría por debajo del menor de los incrementos de la tarifa de gas en sólo uno.
La resolución de la jueza adjuntó registros periodísticos sobre las temperaturas de 11 grados bajo cero en este junio y datos que avalan su conclusión de que el aumento del precio final del servicio de gas se produce “justamente en un año en que los ingresos generales de la población han disminuido y en que el desempleo aumentó”.
En los aglomerados urbanos fueguinos que mide el INDEC, los de Ushuaia y Río Grande, el desempleo se ubicó en 5,6% al cabo de los tres primeros meses de 2024 y más de dos puntos por sobre el del mismo periodo del año anterior. También crecieron los índices interanuales de subocupación (4,8 a 5,7%) y de ocupación demandante (13,8 a 14,6%), es decir las personas que tienen empleo pero buscan reemplazarlo o necesitan otra fuente de ingresos. A diferencia de lo que ocurría en el comienzo de 2023, la desocupación en esos aglomerados fueguinos se coloca más de un punto por encima de la medición conjunta para la región Patagónica, que resultó en el primer trimestre de este año de 4,8%. La jueza Borruto ejemplificó el escenario con dos recortes periodísticos en que:
- se difundieron declaraciones de Luis Schreiber, referente de los almaceneros de Río Grande, quien refirió que cada vez más familias buscan alimentos en los contenedores de basura; y
- se replicaron datos de la consultora Ecotonos, que calculó que una familia tipo fueguina necesita ingresos netos de 1.336.558 pesos para estar por encima de la línea de pobreza.
Por todo ello, Borruto entendió que debían evitarse “posibles daños irreversibles” derivados de la interrupción del suministro de gas a quienes no puedan enfrentar los altos importes de las facturas o para hacerlo deban desatender otras necesidades básicas. Entre los perjuicios irreversibles que teme, enumeró las afectaciones de los derechos a la vida, a la salud y a la dignidad. Todos, de rango constitucional en función de pactos internacionales suscriptos por la Argentina.
Dale gas
En este caso, un punto nodal del tarifazo pretendido por el actual gobierno nacional lo configuró el valor del gas en el Punto de Ingreso al Sistema de Transporte, conocido por la onomatopéyica sigla PIST. En términos simples, se trata del precio del gas al momento de su extracción.
Durante varias décadas y hasta el menemismo, ese valor era decidido por el Estado, que poseía propiedad sobre la empresa vendedora y la compradora: YPF y Gas del Estado. El modelo privatizador convirtió ese monopolio estatal en un oligopolio privado, que no tenía mayor interés en mejorar el precio del gas en PIST, porque de todos modos lo trasladaba a tarifas. Las compañías prestatarias no debían —ni deben— competir entre sí, porque para cada una se diagramaron subzonas de actuación excluyentes.
Como ocurrió en todos los planos, la debacle política y económica de comienzos de siglo llevó ese esquema a un punto crítico y obligó al Estado a intervenir para revertir la exclusión de vastos sectores de los servicios públicos y la incobrabilidad que ponía en riesgo al mismo sistema. De ese modo, el Ejecutivo comenzó a subsidiar el valor PIST, con lo que ese aporte se aplicó sobre el conjunto de usuarios.
La discusión sobre una redistribución progresiva de los subsidios a los servicios públicos constituye un debate no saldado, que —en el caso específico de la energía eléctrica— se tradujo en una interna durante el gobierno de Alberto Fernández y la aplicación de la motosierra regresiva en el de Javier Milei, que modificó la medición del PIST y dolarizó su valor, exponiendo al consumidor final con cada nueva devaluación del peso.
Al apelar el fallo de Borruto, la prestataria Camuzzi Gas del Sur rezongó porque el valor PIST no forma parte de sus ingresos, sino de sus costos. Es tan cierto como que le resulta igual quién lo pague, si el consumidor en su boleta o el Estado en un subsidio, porque de todos modos es un costo que traslada.
Por su parte, el gobierno nacional objeta el reclamo de Tierra del Fuego argumentando que conlleva una discriminación tanto al conjunto del país como al interior de la propia provincia, al solicitarse amparo judicial tanto para grandes consumidores como para pequeños. El primer punto carece de rigor, porque los climas de las jurisdicciones no resisten comparación y la más austral de ellas es también la segunda en producción del gas que ve encarecerse para el consumo de sus habitantes. La segunda omite que el incremento exorbitante en el costo del servicio, que lleva consigo al de la electricidad que el gas genera, redundará en cierres de empresas, más desempleo, menor actividad económica y la caída de cada vez más personas en la pobreza o la indigencia.
El actual gobierno aún no ha desempolvado viejos adagios del neoliberalismo criollo, como “enfriar la economía” o “pasar el invierno”, pero empezó por encarecer el gas hasta amenazar con convertirlo en un consumo de lujo.
--------------------------------
Para suscribirte con $ 8.000/mes al Cohete hace click aquí
Para suscribirte con $ 10.000/mes al Cohete hace click aquí
Para suscribirte con $ 15.000/mes al Cohete hace click aquí